南京记忆|南京曾有樱花会
纪习尚
南京鸡鸣寺旁的鸡鸣寺路,又称樱花大道,这条不足500米长的道路,种植了170多株樱花。每年三四月盛开时,粉白的花海与千年古刹的黄墙黛瓦相互映衬,引无数游客拍照留念。鸡鸣古寺旁的樱花从20世纪80年代开始批量种植,近年来,春天到鸡鸣寺赏樱,已经成了南京的新民俗。其实南京种植樱花的历史很早,而且早在1929年,就曾举办过樱花展览会。
农学院的樱花展览会,观者云集
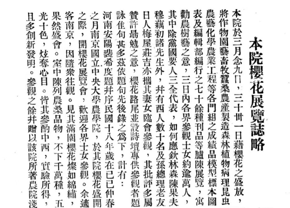
1929年3月29日,当时国立中央大学农学院位于南京三牌楼小门口的校园中,樱花怒放,观者如堵,为期三天的樱花展览会,正在这里举行。游客中,有一位来自河南的裴希度(1913年曾任河南省图书馆经理),当时正客居南京,也趁着大好春光前来参观。进入校门,他首先漫步园中,欣赏路旁灿如锦绣的樱花;接着又走进室内展厅,一一观赏陈列的作物、园艺、畜牧、蚕桑等学科的模型、标本、图表,以及农学院编辑出版的各种书刊等;参观完毕,院方还赠送了《浅说》丛书40余种,让他觉得此行既饱览了美景,又了解了农学知识,收获颇多。

选自《国立中央大学农学院旬刊》第十九期
院方还在樱花路尾设置了诗坛,摆放纸笔供来宾题写诗词。裴希度欣然提笔,写了五律一首:“樱花开正艳,农院召参观。庭室琳琅满,园林锦绣攒。新逾万品,嘉种越千般。更喜丛书赠,直应补地官。”看上去像是打油诗,不过把此行看到的樱花、标本、良种,以及获赠的书籍,都点出来了。
根据《国立中央大学农学院旬刊》,这次樱花展览会,是由农学院院长王善佺发起,由李乃尧、张天才、罗清生、李驹、李寅恭等五位教授具体筹办,目的是:“藉游春赏景之期,寓劝农树艺之意。”也就是樱花搭台、农艺唱戏,意在展示并推广农学院的工作成果。从上述裴希度先生的参观感受看,也的确达到了这个目的。
这次展览会从29日开始,31日结束,共举办三天,第一天招待来宾,晚间举办全体人员“同乐会”;第二、三两天,开放参观,有赏花、展览、演讲等活动,盛况空前。据1930年1月出版的《国立中央大学农学院概况》,来宾达三四千人。其中有不少重量级人物,如何应钦、林森、陈果夫等,不少外国人也慕名前来参观。农学院对展览会的成果很满意,表示来年的樱花季,将继续举办。
明孝陵赏樱,报纸曾有《樱花专号》
农学院内的樱花,从江苏省立第一农业学校时期就开始种植了。如果说它藏身象牙塔内不属于公共空间,那么南京明孝陵、玄武湖等地大面积种植樱花,吸引万千游客观赏,就表明“春日赏樱”已经真正走入了百姓的生活。

选自1935年3月16日的《南京日报》
明孝陵原本并没有樱花。据1935年3月16日的《南京日报》报道,1929年孙中山先生安葬之际,“留日中国华商赠送樱花苗四千株,后迁种于明孝陵前吴王坟植物园之蔷薇科花木区内。”明孝陵大规模种植樱花,应该始于1929年,经过五年的生长,1935年时已经非常可观:“开花茂盛,远望如云如霞。”再加上江南汽车公司开通了旅游专线,从新街口到明孝陵只要20分钟车程,春天前去赏花的人越来越多:“明孝陵的樱花盛开,南京市上,只听到呼朋邀侣,一片的看花声。”
春天一到,樱花就频繁出现在南京报纸的版面上。3月初,报纸开始预报樱花开放的日期。之后,开始报道游客赏花的盛况。如1937年4月8日,明孝陵樱花开放,游人如织。有记者前去采访,他看到:“吴王坟上双瓣樱花甚多;明孝陵那围墙里的几十株单瓣樱花,开放得亦不错;至于风景最好之二道沟,则樱花、桃花、垂柳红绿相映,格外变成了一个美丽的画境。”吴王坟即孙权墓,二道沟在今流徽榭附近,都在明孝陵周边。

选自1937年4月11日《南京晚报》
报纸还开辟专版报道樱花。1937年4月11日,在樱花开得最盛的时候,《南京晚报》推出了《樱花专号》。除了读者的赏花散记、赏花词外,还刊登了两幅照片,一幅是明孝陵内的单瓣樱花,一幅是站立在树下的美人,或许是当时耳熟能详的大明星?
而等到樱花凋落,记者们还要撰文伤感一番:“暮春的风雨,满园樱花随水去。”
明孝陵是南京人最早的赏樱胜地,后来,玄武湖等地也开始种植樱花。据当时的媒体报道,1936年2月,南京市政府获赠野樱苗木1200株、黑樱苗木800株,其中很大一部分栽种到了玄武湖的樱洲等处。几年后,玄武湖也成了人们春日赏樱的好去处。

珍珠河两岸樱花
如今,除了明孝陵、玄武湖,以及鸡鸣寺外,南京林业大学、中山植物园、莫愁湖公园、幕燕滨江风光带、牛首山等,也有大片樱花,南京市民和游客的赏樱目的地更多了。
审核:窦予然
发布:梁 刚
苏公网安备 32010502010180号