今天的司背后社区,位于南京市鼓楼区中央门街道。
而“司背后”原为一条四百米长的小巷,一端北抵新模范马路,另一端西南临马台街。
有一种说法,讲司背后地名的由来,是因明代在南京设五城兵马司,城北由北城兵马司管辖,司背后即北城兵马司官署建筑背后的一片区域,所以简化为“司背后”。只是,虽然《永乐大典》中确有记载,“鼓楼在今北城兵马司东南”,但因北城兵马司的具体位置却无从得知,也就无法判断司背后这一地名由来传说的真实性。

《首都志》中“司背后”
当然,关于“司背后”名字的来源,还有一种说法。说这一地名产于清代,与明代北城兵马司无关,最初是被称作“寺背后”。“寺背后”从字面可以理解为寺庙背后的一块区域。在《陆师学堂新测金陵省城全图》上看到“寺背后”南面临近香水林,东面毗邻观音庵,从东、南两侧来说,“司背后”的确是在寺庙的背后。

《陆师学堂新测金陵省城全图》(局部)
而关于“司背后”的文字记载,早可见于民国时期《首都志》。在《民国二十二年(1933)城图》中亦标识有“司背后”一地。其址位于南洋劝业会会址西侧,将军庙、马台街东侧,与今天的司背后地理位置几乎一致。

1933年南京城局部地图
往前追溯,在晚清《陆师学堂新测金陵省城全图》的标识中,有一处地名叫“寺背后”,位于将军庙东侧、丁家桥北侧,辖区与前述的“司背后”一致。那么,很可能是因“寺”“司”二字在南京方言中发音相近,或许在当时曾有互用。且“司背后”的写法在当时并没有得到统一,在《金陵省城古迹全图》中,便在“寺背后”相同的位置标识作“司背后”。
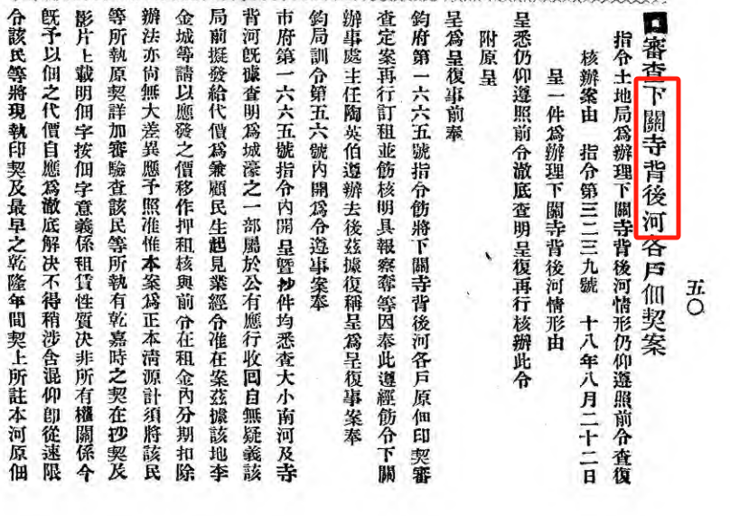
无独有偶,“寺背后”三字还可见于民国时期,《首都市政公报》的两篇报道《审查下关寺背后河各佃户契案》与《南京市政府土地局布告(征收京沪铁路经过寺背后河及中山路一段土地建筑)》中,提到“寺背后河”,其发源自鼓楼岗汇入长江的金川河水系的一小支流,如今该段已为地下河。

《首都市政公报(1929年第43期)》

《首都市政公报(1930年65期)》
而当年在“寺背后”东面的观音庵,在清宣统年间被征辟作为南洋劝业会的会址,并未复建。南面的香水林作为私立寺庙在1934年左右就入会一事与南京佛教协会产生纠纷,后来也消失于历史的长河之中。
或许也正是因为司背后的“寺”逐渐消失,才慢慢为“司”所取代吧。
审核:窦予然
发布:梁 刚
苏公网安备 32010502010180号